Notion de cours
Dans le cas d'un travail effectué par des forces de pesanteur ou par des forces engendrées par des
ressorts, on parle d'énergie potentielle.
Pour ces cas, le travail réalisé est indépendant des trajectoires et dépend uniquement des positions
initiales et finales des forces.
Définition : Energie potentielle de pesanteur :
L'énergie potentielle de pesanteur (EPP) dépend de l'altitude z à laquelle se trouve le solide étudié. Plus z sera grand, plus l'EPP sera grande.

|
|---|
EPP : énergie potentielle de pesanteur en Joules [J]
m : masse du solide en kilogrammes [kg]
g : intensité de la pesanteur (g ≈ 9,81 m/s²)
z : altitude du solide en mètres [m]
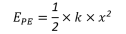
Définition : Energie potentielle élastique :
C'est l'énergie emmagasinée par un solide au cours de sa déformation élastique sous l'effet d'un ensemble d'actions mécaniques.
L'énergie potentielle produite par le ressort se calcule de la façon suivante :
|
|---|
EPE : énergie potentielle élastique en Joules [J]
k : raideur du ressort [N/m]
x : longueur de laquelle a été déformé ressort en mètres [m]
