3. Étude de dureté : Dureté BRINEL
La première notion de dureté provient du minéralogiste allemand Friedrich Mohs, qui recherchait un paramètre pour définir les minéraux en 1822. Il a proposé une échelle de 10 classes de dureté relative basée sur la résistance à la rayure par rapport à des matériaux donnés, le talc et le diamant étant les extrêmes. ![]()
Fondamental : Principe
La dureté d'un métal, symbolisée par la lettre H, est la résistance qu'il offre aux efforts de pénétration.
On admet qu'un métal est d'autant plus dur qu'un poinçon (sphérique, conique ou pyramidal), soumis à une charge constante, y pénètre moins profondément. La dureté peut donc être évaluée en fonction de la surface ou la profondeur de l'empreinte laissée par le poinçon.
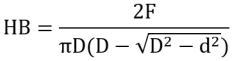
Fondamental : Essai BRINELL
On doit l'essai Brinell à l'ingénieur métallurgiste suédois Johan Brinell (1849-1925). La norme de dureté Brinell a été éditée dès 1924. Il s'applique aux métaux « peu durs ».
Le poinçon en acier extra-dur est une bille de diamètre D. La dureté Brinell est égale au quotient de la charge d'essai exercée sur la bille par l'aire S (mm²) de l'empreinte, assimilée à une calotte sphérique.
Diamètre D de la bille en mm | Charges exprimées en daN | |||
|---|---|---|---|---|
P = 30 D² | P = 10 D² | P = 5 D² | P = 2 D² | |
1 | 30 | 0 | 5 | 2 |
2,5 | 187,5 | 62,5 | 31,25 | 12,5 |
5 | 750 | 250 | 125 | 50 |
10 | 3000 | 1000 | 500 | 200 |
Charges | Métaux ou alliages |
|---|---|
30 D² | Aciers, Bronzes... |
10 D² | Laitons, Alliages légers... |
5 D² | Cuivre, Duralumin, zinc et alliages... |
2 D² | Etain, Plomb... |
Il y a possibilité de mesurer d à l'aide d'un microscope électronique.
H(1/30/15) : Essai effectué avec une bille de diamètre 1 mm, une charge de 30 daN, durant 15 s.
Fondamental : Exploitation des résultats : Dureté Brinell des métaux et alliages usuels :
Laitons : 52 à 90
Bronzes : 80 à 117
Aciers doux : 110
Aciers mi-durs : 170
Aciers durs : 315
Des tables permettent d'avoir directement la dureté en fonction de d. Pour les aciers ordinaires, il existe une relation simple, mais approchée, entre la dureté Brinell et la charge de rupture par traction : R (N/mm²) ≈ 3 HB







