Annexe 1
Fondamental : Caractéristiques mécaniques

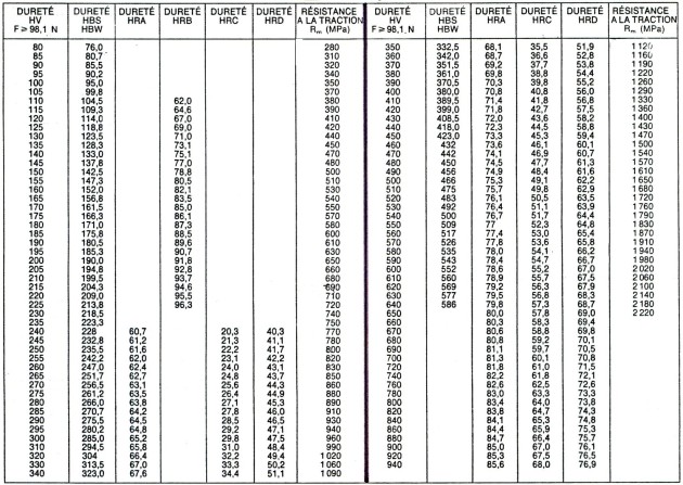
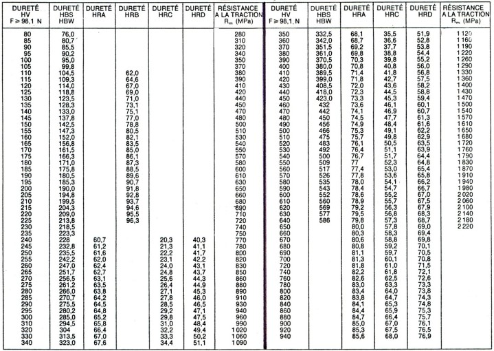
Fondamental : Comparaisons indicatives des échelles
La dureté dépend à la fois de la limite élastique et de la capacité de durcissement par déformation. En effet, des déformations de la pièce sont constatées lors des essais. Il est donc difficile de relier quantitativement des mesures de dureté faites sur le même matériau suivant différentes méthodes. Il existe des tables, faciles à utiliser, de correspondances de valeurs approchées.
TABLE PRÉSENTANT LES ACIERS NON ALLIES OU FAIBLEMENT ALLIES :
Fondamental : Correspondance entre mesures de dureté
Solution:
P=M.g = 22,5 x 9,81 = 219,74 N
Wo =M . ho =219,74 x 1,34=294,45 J
Hauteur de remontée h1 = OG -OG . cos θ1 = 0,7 (1-cos 74° ) = 0,507 m
Energie de rupture ( absorbée ) : W = P (ho -h1) = 219,74 ( 1,34 - 0,507 ) = 149,11 J
Section nette de l'éprouvette en U : So = 1 cm x 0,5 = 0,5 cm2
KCU = 149,11/0.5 = 298,22 J/cm2 ( acier extra-doux ).
Exemples de résultats
Acier mi-doux ( C35-> 1.0501 ) trempé à 860° C+ revenu à 600C KCU = 120 J/cm2
Acier mi-dur ( C45-> 1.0503 ) trempé à 830℃ + revenu à 600C KCU = 80 J/cm2
Remarques :
Plus la valeur de KCU ou KCV est grande, plus le métal à d'aptitude à résister aux chocs
Le revenu pratiqué après trempe a pour but de rendre le métal moins fragile ( ex. Les burins ).







